1) 基于特征线理论的喷管设计方法得到离散点后,可用插值和拟合方法得到其他位置型面坐标。采用拟合方法得到的喷管型面内部较为纯净,采用插值方法得到的喷管型面内部存在微弱的波系结构,但引起的马赫数波动较小,对流场均匀性影响不大。

图 1 三次样条插值喷管内部压力梯度等值线图
图 2 多项式拟合喷管内部压力梯度等值线图
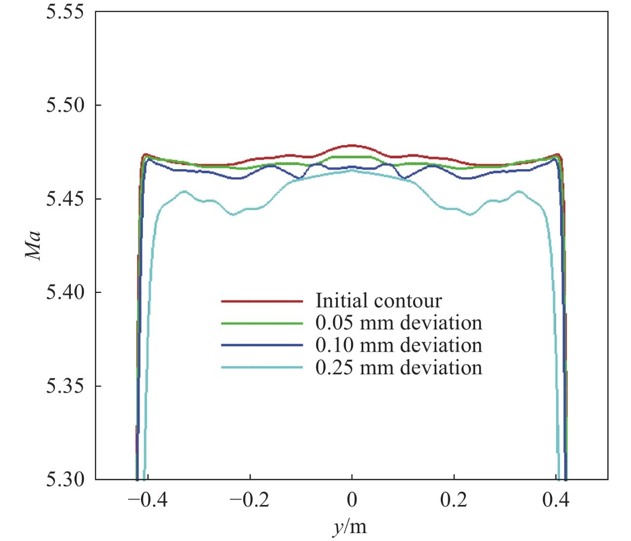
2) 喷管型面加工精度对流场均匀性影响较大,偏差0.10 mm时喷管内部存在明显波系结构,马赫数偏差在0.2%以内;偏差0.25 mm时喷管内部波系更强,马赫数偏差在0.5%以内,且与原始型面相比出口马赫数出现明显下降。
图 3 不同型面加工偏差喷管出口马赫数分布
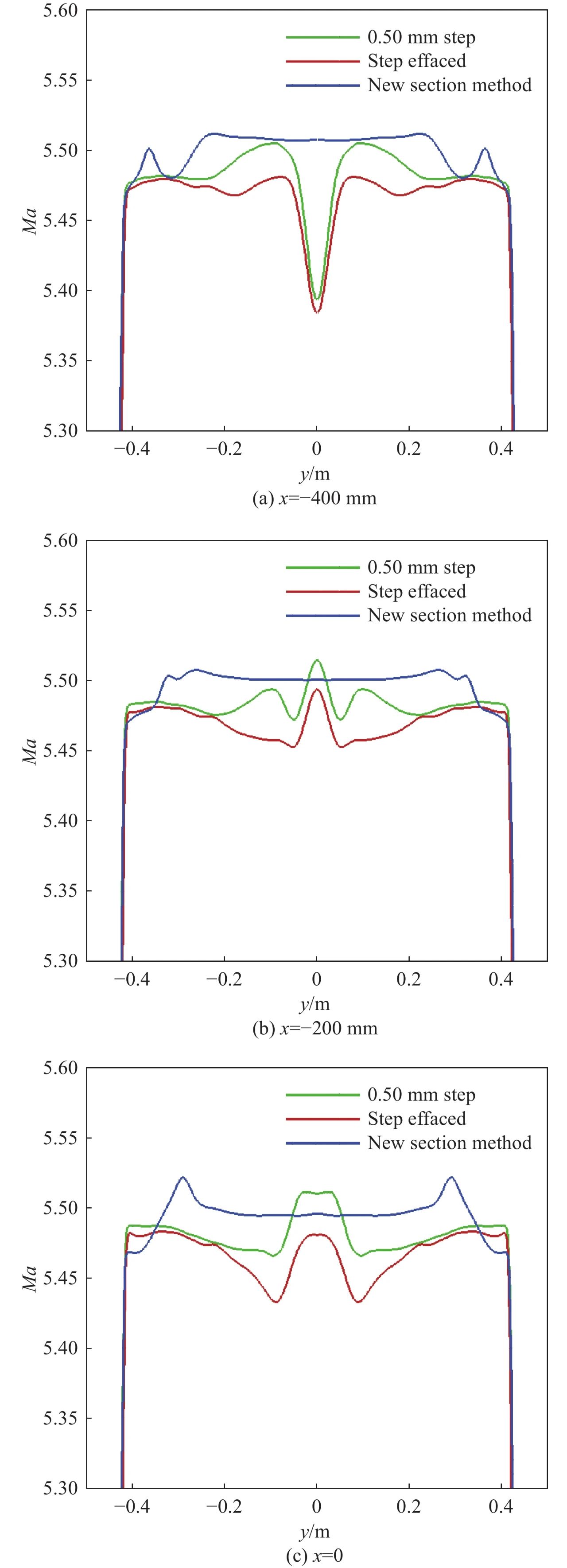
3) 喷管型面拼接处阶差是目前影响风洞喷管流场品质的最主要因素,应尽量避免阶差引起的波系在喷管出口处相交,当阶差为0.25 mm时,马赫数偏差整体控制在0.5%以内。
4) 针对喷管型面拼接处阶差的影响,本文提出了提升流场品质的改进策略,包括新的拼接工艺、拼接后的打磨处理和新的喷管分段方式。采用新的分段方式可以有效提高喷管出口截面轴线附近区域的马赫数均匀性,减小马赫数波动,从而提升流场品质。
图 4 三种改进措施下不同截面马赫数分布图
摘自《空气动力学学报》


