本项目为同济大学朱乐东教授主持的国家自然科学基金项目,项目编号51938012,项目起止时间2020年1月至2024年12月。项目由同济大学、湖南大学、海南大学合作完成。
01研究背景
我国东部沿海高速公路干线及其支线或联线、以及一些岛屿联接工程的建设,涉及许多跨海、跨江河入海口工程,为了避免建造过多的深水桥墩、降低工程总投资,或者为了满足高标准通航要求,对超大跨度桥梁(主跨1000m以上斜拉桥和2000m以上悬索桥)的需求正日益旺盛。
对于超大跨度斜拉桥,跨度的增加将引起主梁和桥塔承受的恒载轴向压力和p-Δ效应急剧增加、超长斜拉索的垂度显著增加及有效刚度显著降低、结构大位移等几何非线性效应明显增大等问题。这些不利因素将成为制约超大跨度斜拉桥发展的主要障碍之一。对于超大跨度悬索桥,跨度的增加同样会引起其桥塔承受的恒载轴向压力和p-Δ效应急剧增加,且主梁超长化会使其本身的扭转刚度显著降低, 会导致其风致静力稳定性问题趋于严重,甚至会早于颤振出现,因此必须采取措施提高其扭转刚度。
因此,本项目提出采用碳纤维增强复合材料CFRP作为缆索承重桥梁(包括悬索桥和斜拉桥)的拉索(包括主缆、吊杆和斜拉索),超高性能混凝土UHPC作为索塔和斜拉桥主梁,而形成承载高效、寿命耐久的新型缆索承重桥梁结构体系,从而大大扩展缆索承重桥梁结构体系适用的跨径范围并大幅提高结构的耐久性。
从抗风角度来看,由于超大跨度桥梁变得非常柔软,对风的作用也变得越来越敏感,抵抗风致动力失稳(颤振)和风致静力失稳的能力也越来越低,加上东南沿海受台风影响严重,桥梁设计风速极高,因此,抗风问题成为这类基于高性能材料特大跨径缆索承重桥梁能否成功实现的关键。
与此同时,非常有必要改变现有的抗风稳定评价单一标准,允许超大跨度桥梁发生颤振,而对颤振后的振幅值和构件应力进行设防和控制,并对不同风速重现期设置不同的结构性能要求,同时通过合理结构设计、加强关键构件的强度来提高桥梁整体结构的抗风韧性。考虑到颤振发生是风速较高,桥梁的风致静力位移响应也必然很大,因此,要真正开展这项工作,首先必须要建立一种能同时考虑风致静力大位移及大变形效应与自激力非线性效应的桥梁颤振分析理论,进行桥梁颤振后的位移响应和应力分析。
为此,本项目通过理论和试验研究,形成了以下几个方面的主要成果。
02高性能材料大跨缆索承重桥梁的结构体系及构造技术
1. 超大跨径钢-UHPC混合梁斜拉桥
为探究基于高性能材料超大跨径混合梁斜拉桥的结构性能,采用不同材料索-梁-塔的组合,构建了①钢拉索+钢主梁+普通混凝土索塔(SSN);②CFRP拉索+UHPC主梁+UHPC索塔(CRR);③CFRP拉索+钢-UHPC混合梁+UHPC索塔(CHR)等3种主跨1600m的双塔双索面全漂浮体系斜拉桥方案,桥梁总体布置如图1所示。采用有限元方法分别对三个方案的静、动力性能进行了分析比较,并以结构整体屈曲稳定系数为目标分析了混合梁方案主梁钢-UHPC结合面的合理位置。主要得到了以下结论:3种斜拉桥方案的静力、动力性能均可行,但CHR方案可有效提高斜拉桥结构的整体稳定性,且当混合梁钢-UHPC结合面设置于主跨内1/4~1/3主跨位置时,可获得较好的结构整体稳定性。

2. 基于高性能材料超大跨径悬索桥的结构体系
基于不同材料和加劲梁形式,拟定了钢缆+钢箱梁+UHPC塔、CFRP缆+钢箱梁+UHPC塔、钢缆+钢桁架-UHPC板组合梁+UHPC塔和CFRP缆+CFRP桁架-UHPC板组合梁+UHPC塔等4种主跨3300m的悬索桥。建立4个方案的整体结构以及主梁节段有限元模型,分析各方案在恒载和外荷载作用下的静力响应,如图2所示,主要得到以下结论:
(1) 恒载状态下, CFRP缆索的应用可显著降低主缆轴力。
(2) 采用CFRP桁架-UHPC板组合梁亦能有效降低主缆应力水平。相比于其他结构体系,CFRP缆+CFRP桁架-UHPC板组合梁+UHPC塔悬索桥静力性能更为优异,且应力水平有较大安全储备,整体屈曲稳定性最优。


03超大跨度缆索承重桥梁风致静动力失稳一体化时域分析理论以及非线性机理
1. 颤振自激力的非线性数学模型和参数识别
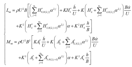
钝体桥梁断面颤振常常展现为自限幅的“软颤振”,说明其自激力存在显著的非线性(幅值依赖性)。本项目建立了弯扭耦合颤振自激力的非线性时频混合数学模型,包括等效线性化模型和多项式模型。其中多项式模型形式如下:

式中:H*i和 A*i(i=1~4) 为线性颤振导数, H*0,0(2j) H*2,1(2j) H*3,0(2j+1) A*3,0(2j+1) A*2,1(2j)为非线性颤振导数。这些颤振导数均要表示成折算频率 K(或折算风速 Ur)的函数以考虑自激力的非定常效应。此外,它们还与桥梁断面的气动外形有关,对于同一桥梁断面则表现为颤振导数随风攻角变化。
多项式型自激力模型的参数识别主要分为两步:(1)通过小振幅自由振动试验识别竖弯运动相关颤振导数;(2)通过大振幅自由振动试验识别扭转运动相关颤振导数。
识别流程见图3。

但是以上模型不能直接用于开展桥梁风致静动力失稳的时域分析,还需要进行时域化。但是这两种模型的气动参数均是频率相关的,相当于频域中的传递函数,所以它们不能直接用于开展桥梁风致静动力失稳的时域分析,还需要进行时域化。
通过理论推导发现,在模拟位移均值为缓变函数的准正弦运动时,基于Volterra级数的自激力模型可以简化为一阶频率分量等效自激力模型,也就是等效线性化时频混合模型的时域形式,该模型为一维卷积函数,具有参数识别简单和计算方便的优点。因此,本项目通过对等效线性化时频混合自激力模型进行时域化,来得到纯时域自激力模型。下图为中央开槽箱梁断面非线性颤振导数识别及拟合结果。

2. 风致静动力非线性失稳一体化时域分析方法
本项目以有限元数值分析为基础,提出了一种综合考虑几何、材料、气动力非线性,以及静动力耦合效应的三维非线性风致失稳静动力一体化分析方法,直接在时域中求解的全桥有限元运动方程:利用更新的拉格朗日列式法求解平衡方程,即将平衡方程建立在变形后的位置,以考虑大变形效应;利用弹塑性单元模拟可能进入塑性的构件,并赋予相应的材料本构模型;求解平衡方程的过程中根据构件的应力历史不断更新切线刚度矩阵;考虑了气动力随有效攻角和振幅的变化,因此能够反应气动静力和自激力的攻角非线性、以及气动自激力的振幅非线性;在气动力模型中引入附加气动力项考虑动力对静力的影响。
该方法具体实施步骤如下图。

通过全桥气弹模型试验和一体化时域数值分析对比,检验了所提出的分析理论的有效性和精度。计算分析可以基本重现了试验中观察到的软颤振现象,并比较精确地反演出了主梁软颤振幅值随时间的发展过程,以及随振动显著变化的主梁竖向平衡位置。

针对1600m跨径斜拉桥全桥气弹模型开展非线性风致静动力失稳特性和机理的参数分析。结果表明:主梁在来流的平均风效应(即静风荷载)下会产生很大的扭转变形,从而增加了主梁的风攻角,静风附加攻角会引起主梁气动外形的进一步变化,从而对结构的颤振性能产生很大的影响,属于静力对动力的影响效应;主梁振动引起的附加气动升力后使主梁跨中竖向动位移均值显著增大,振动对静力的影响导致主梁抬升,斜拉索应力减小,从而进一步改变结构的动力特性,并进一步导致颤振振幅发生变化。静动力耦合效应对超大跨桥梁风致失稳影响显著。

04提高大跨度桥梁风致静动力失稳强健性和韧性的综合控制理论和方法
面向基于性能的超大跨度桥梁抗风设计要求,本项目提出了基于不同重现期性能指标的颤振性能分级评估标准如下图。

基于以上评估标准,除了传统的通过气动措施提升超大跨度桥梁抗风稳定性之外,本项目还研究了通过结构措施进一步提高高性能材料超大跨度桥梁的临界风速。
以1600m跨径斜拉桥CHR方案为例,原始方案的风致失稳破坏模式为桥塔处主梁上游箱受拉破坏,但下游箱的抗压能力尚有一定的裕度,因此采取在近塔区112 m范围内施加体外预应力的措施来加强CHR方案的抗风性能。

以最不利的−5°攻角为例,图10对比了CHR原始方案和加强方案的风致静动力失稳分析结果。加强方案的极限风速为105 m/s,相比于原始方案提高了7 m/s,并且破坏时已经发生软颤振,跨中扭转振幅为4.3°。

图11为CHR加强方案在极限风速下的主梁跨中软颤振位移时程,在稳态阶段的侧弯位移达到最大值时结构发生破坏。图12给出了破坏时近塔区主梁UHPC的正应力和应变,可以看到主梁上游箱和下游箱已分别大面积进入受拉和受压的塑性区,其中桥塔处主梁的边缘最大拉应变和压应变均已达到UHPC的极限应变,因此上下游箱将同时发生受拉和受压破坏,使整个主梁截面退出工作。

05结论
本项目提出超大跨高性能材料缆索承重桥梁的结构体系、设计理论和构造技术,以及抗风稳定性非线性理论和控制方法;实现了主跨3300m高性能材料悬索桥和主跨1600m 高性能材料斜拉桥的可行方案,为推广高性能材料在超大跨度桥梁建设中的应用、并实现超大跨度高性能材料桥梁的安全和经济的抗风设计提供强有力的科学理论和技术支撑。
摘自《同济风工程》